
반정아이파크캐슬 4단지 분양정보
분양일정

공급위치
| 공 급 위 치 | 경기도 화성시 반정동 621-101번지 일원 |
| 공급규모 | 지하2층, 지상17층, 14개동 총 986세대 및 부대복리시설(※근린생활시설은 별도 공급예정) 일반공급 519세대,특별공급 467세대 (일반[기관추천] 특별공급 92세대, 다자녀가구 특별공급 106세대, 신혼부부 특별공급 176세대, 생애최초 특별공급 64세대, 노부모 부양 특별공급 29세대) |
| 입주시기 | 2022년 12월 예정(정확한 입주일자는 추후 통보) |
공급대상

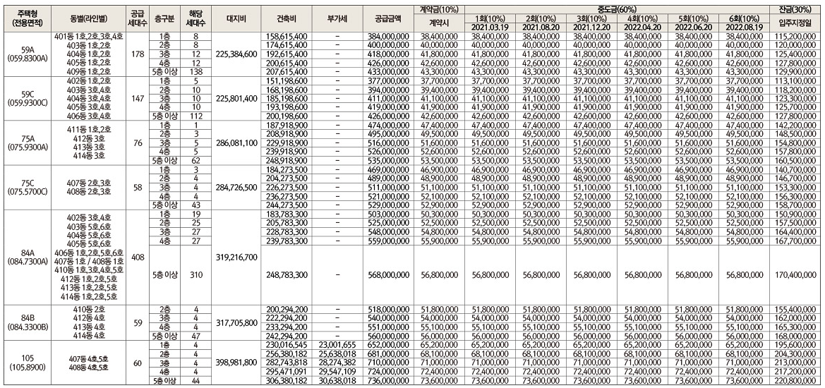
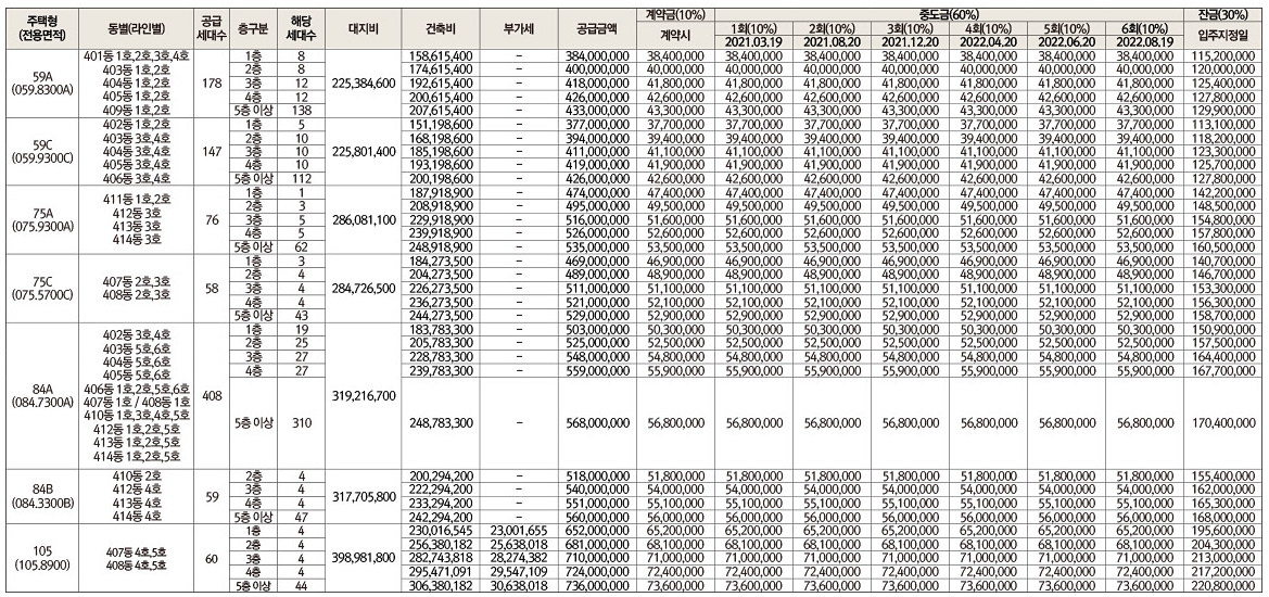
공급금액 및 납부일정

주의사항
부적격 당첨 주의


4단지정보


▼ 관련링크
아파트담보대출 한도 및 금리 (총정리)
아파트담보대출 한도 및 금리 목차 글 아파트 담보대출 아파트를 구매하기 위해서는 많은 돈이 필요합니다. 최근 아파트의 시세가 많이 늘어나면서 대출이자 부담이 높다보니 금리를 잘 따져보
info.dinoa.xyz
세종 리더스포레 잔여세대 신청방법
세종 리더스포레 분양정보 목차 청약접수 세종의 입주 물량이 최근 1~2년간 점차 줄어듦에 따라 그동안 가격이 눌려왔던 대전, 청주 등의 가격 상승이 일어났고, 그 상승은 결국 6.17 대책에서 두
info.dinoa.xyz
숙박 무료쿠폰 신청 및 사용방법
숙박무료쿠폰 신청방법 목차 문화체육관광부와 한국관광공사는 ‘안전여행과 함께 하는 대국민 숙박 할인쿠폰’ 지원사업을 11월 4일부터 재개한다고 밝혔습니다. 재개 시점은 4일 오전 10시
info.dinoa.xyz
전세자금대출 한도 간단조회
전세자금대출 한도 간단조회 목차 주택도시기금에서 운영하는 주택전세자금계산마법사를 활용하면 전세자금대출 한도를 간단하게 조회 가능합니다. 다만, 이 한도는 간단한 내용만으로 조회
info.dinoa.xyz
내집마련 디딤돌대출 신청방법 및 대출조건
내집마련 디딤돌 대출 목차 내집마련 디딤돌 대출 대상 및 조건 내집 마련 디딤돌 대출조건은 다음과 같습니다. 1. 본인과 배우자의 합산 연 소득 연간 6천만 원 이하 - 생애최초주택구입자,
info.dinoa.xyz
소상공인 새희망자금 신청방법 (++홈페이지 캡쳐 따라하기)
소상공인 새희망자금 신청 절차 오늘 부터 소상공인 새희망자금 신청이 가능합니다. 문자 받으신 분들은 아래 홈페이지 접속하셔서 그대로 따라하시면 됩니다. 목차 홈페이지 접속(새희망자금.
info.dinoa.xyz
청년구직지원금 신청 방법 (++홈페이지 링크)
청년구직지원금 글정부가 코로나19 사태로 취업이 어려워진 청년층(34세 이하)을 지원하기 위해 총 20만명에게 1인당 50만원의 청년특별구직지원금 지원합니다. 목차 지원 대상 지난해와 올해 구�
info.dinoa.xyz
무료 독감 백신 예방 접종 신청방법 (++홈페이지 링크)
하늘 아래 다양한 정보를 전달하는 하 늘 정 보 입니다. 오늘은 '무료 독감백신 예방접종' 에 대해서 알아보겠습니다. 목차 2020년 무료 독감백신 예방접종 신청방법 국가에서는 '인플루엔자 국
info.dinoa.xyz
경기도 극저신용대출 3차 접수 안내 (++ 신청방법)
경기도 극저신용대출 3차접수 안내 목차 경기도는 신종 코로나바이러스 감염증(코로나19) 사태로 어려움을 겪는 저신용자에게 소액 대출로 긴급 생계자금을 지원하는 '극저 신용대출' 3차 신청��
info.dinoa.xyz
이상!
하늘정보 였습니다!
괜찮게 읽으셨다면 좋아요♡ 부탁드려요!
추가질문이 있으시면 아래 댓글 남겨주세요.
'하늘정보' 카테고리의 다른 글
| 학자금대출 총정리 (신청방법, 상환방법, 자주묻는질문 정리) (0) | 2021.06.14 |
|---|---|
| 마스크 착용 의무화 (0) | 2021.06.14 |
| 2021년도 행복주택 신청방법 (최신판 총정리) (0) | 2021.06.14 |
| 주택담보대출 용어 LTV, DTI (총정리) (0) | 2021.06.14 |
| (2021년 최신) 실업급여 신청방법 (0) | 2021.06.14 |
댓글